search
Add:No.304 Zha wang road, zhapu,jiaxing zhejiang province,china;
Tel:86-57385535270
Fax:86-57385531070
E-mail:grace@allywinchina.com
Web:www.allywinchina.com
 
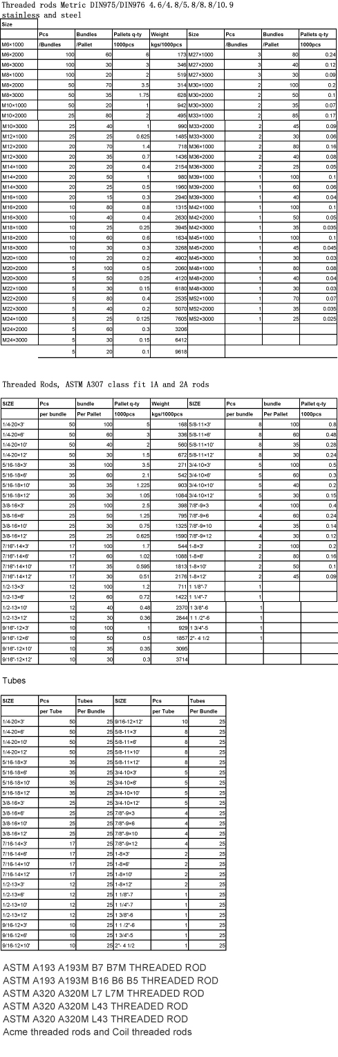
Threaded Rods
title
Threaded Rods

Footnote section
footnotes
All rights reserved Copyright(C)2009-2015 JIAXING ALLY WIN MFG CO.,LTD. 博威科技